一、研究的背景与问题
增加高铝铁矿(Al2O3含量≥2.35%)的使用已成为继褐铁矿后我国炼铁实践中不可回避的又一用矿挑战。随着全球优质铁矿资源的逐年消耗,我国进口铁矿资源整体呈逐年劣化态势。国际四大矿山中,除巴西淡水河谷(Vale)外,澳洲力拓(Rio Tinto)、必和必拓(BHP)、福德士河(FMG)的产品均已明显高铝化,其Al2O3含量普遍高于2.40%;此外,东南亚、印度以及非洲等地的非主流矿也呈高铝化趋势。结合冶金固废资源,目前3200m3级大型高炉增配低品质铁料面临严峻挑战:
1、混匀矿质量波动增大,混匀矿制粒性能、高温烧结性能变差,将造成烧结质量劣化、燃耗升高、加工成本增加等问题。
2、炉料中SiO2、Al2O3、TiO2等脉石含量增加,会恶化炉内透气性,还会造成渣铁流动性变差、渣铁分离困难、炉缸活跃性减弱等问题,进而造成出渣铁不畅、炉况稳定性差、燃耗指标劣化等问题。
在钢铁企业降低铁损“固废资源不出厂”以及全球铁矿资源普遍高铝化的背景下,越来越多企业强调以“强焦、弱矿”经营方针推进铁前降本工作,适当劣化入炉铁料冶炼质量以提高低价低品质铁料的配比,同时还需强化入炉焦炭质量与结构的保障以支撑高炉稳定顺行和指标进步。当前烧结、高炉的用矿理论强调互补配矿原则,即基于各类含铁料的理化指标和冶金性能进行互补搭配。目前各企业高碱度烧结矿均是依托初始液相理论、复合铁酸钙理论来组织生产的,但Al2O3含量到2.0%至3.0%范围时对上述烧结成矿理论的影响机制还未明确;同时高Al2O3含量(16%至18%)炉渣冶炼性能的调控理论也未得到系统研究和定量化阐述。提升铁前高比例高铝矿的利用水平迫切需要相关理论创新与技术进步。随着物联网、大数据、5G通信以及人工智能等新兴技术的涌现和长足发展,我国钢铁工业也迎来了智能化转型的机遇期。
二、解决问题的思路与技术方案
1、总体思路

图1 项目总体技术路线图
2、技术方案
(1)高铝烧结理论及其冶炼技术。探明了氧化铝含量由2.0%提升至3.0%时高铝烧结矿性能的多维度演化规律,揭示了烧结液相生成及其物相演变的高铝铁矿成矿机制,形成了“碱度+镁铝比”联调联控的高铝烧结策略,开发了烧结提铝及增配冶金固废的集成利用技术。
①增配高铝铁矿对烧结矿性能的影响规律

图2 提升铝含量对烧结矿性能的影响
如图2,烧结矿的粒度、还原性随提铝含量呈升高趋势,Al2O3含量2.23%时平均粒度及还原性最好,但低温还原粉化性能RDI-0.5超过10%。增加Al2O3含量,不规则孔洞增多,矿物结构向熔蚀结构转变,赤铁矿渐转为他型晶结构,磁铁矿向骸晶状发展,铁酸钙由针状向树枝状、柱状发展。Al2O3含量为2.32%时烧结矿软熔区间(T40-T10)和熔滴区间(Td-Ts)较窄,滴落量适中,其熔滴性能最优。
②高铝铁矿烧结成矿机制
提铝对烧结液相生成的影响:第一阶段(1130-1240℃):液相开始生成,液相量不超5%;Al2O3含量越高,初生液相温度最高;Al2O3含量≥2.0%时液相生成量趋于一致。第二阶段(1240-1340℃):液相生成速度加快,Al2O3含量1.00%时液相生成速度最快,相同温度下液相生成量最多;在2.00-3.00%时Al2O3含量越高,同一温度下液相生成量越低。第三阶段(>1340℃):液相生成行为发生反转,Al2O3含量越高其液相生成量越多。
提铝对烧结含铝物相含量的影响:A.黄长石相Ca2Al2SiO7(a)、Fe2Ca2AlO7(b)含量随温度升高呈先增后降趋势;>1240℃时 Al2O3含量越高则铁黄长石相含量下降越缓慢;B.提铝抑制了黄长石相参与液相生成,促进了铁铝尖晶石相FeAl2O4参与到液相形成。C.增铝还促进三类辉石相的生成,造成烧结液相量的减少。

图3 高铝烧结成矿的理论计算分析
那么,高铝铁矿烧结成矿的机制可概述为:A.烧结矿Al2O3主要以SFCA、尖晶石、黄长石和辉石相等形式存在;B.提铝促进了尖晶石相(MgAl2O4、Fe2AlO4等),黄长石相(Ca2Al2SiO7、Fe2Ca2AlO7等)以及辉石相(CaAl2SiO6、CaAlSi2O6和FeCaAlSiO6等)的稳定存在;C.提铝使得烧结液相量减少、液相流动性变差,液相填充孔隙的能力下降。
③烧结增配高铝矿及冶金固废的集成利用技术
结合高铝铁矿烧结成矿机制,项目组提出“碱度+镁铝比”联调联控的高铝烧结策略:即如图4,提铝至2.2%-2.5%时,实施高碱度(R2=2.0~2.3)、中低镁铝比(0.75-0.85)、厚料层(>900mm)烧结。开发含镁添加剂,申报并获授权发明专利“一种用于改善高比例高铝铁矿粉烧结的添加剂及其应用”,可改善高铝烧结矿的质量。

图4 烧结提铝过程的碱度-镁铝比联调联控策略实践
为克服冶金固废对烧结的负面影响,开发了冷压块工艺,如下图5所示,将冶金固废、返矿冷压块,经温养护后再加入高炉。含冷压块的综合炉料熔滴性能良好,有力支撑了烧结增配经济铁料。

图5 基于冷压块的冶金固废利用技术
(2)高铝炉渣调控机制及其冶炼技术。明晰了氧化铝含量在16%至18%之间炉渣粘度、熔化性温度等性能与炉渣结构之间的定量关系及其影响因素,揭示了基于炉渣聚合度的高铝炉渣性能调控机制,开发了大型高炉冶炼高铝炉渣的集成调控技术。
①提升铝含量对炉渣冶炼性能的影响规律

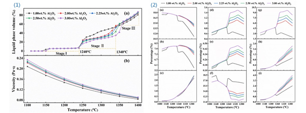
图6 提铝对炉渣粘度、熔化性温度的影响
Al2O3含量由15.87%提至17.40%,炉渣流动性呈逐步劣化趋势:熔化性温度从1381℃升至1425℃,1500℃粘度由0.273 Pa.s增大至0.415 Pa.s。炉渣流动性的试验规律符合理论计算,炉渣实测粘度高于理论计算值,并且Al2O3含量越高则实测粘度与理论值的偏差越大。
②高铝炉渣性能调控机制及其调控技术
熔渣光谱结构分析表明:随Al2O3含量升高,熔渣光谱峰向频率更高波段移动,桥氧结构含量增加,炉渣结构趋于复杂化。在复杂结构单元增多、结构聚合度增大的同时,炉渣粘度(1500℃)也呈增大趋势,Al2O3含量大于17.5%时粘炉渣度增幅放缓。炉渣粘度与炉渣的结构变化呈高度的相关性。

图7 基于结构分析的高铝炉渣性能调控分析
鉴于炉渣粘度与其结构的高关联性,项目组提出基于降解网络聚合度的炉渣性能调控机制:凡能够降解炉渣结构聚合度(Q2+Q3/Q0+Q1)的因素均能改善炉渣的流动性,它们通常是炉渣结构修饰因子成分(如CaO、MgO、FeO、MnO等),能促使炉渣中非桥氧NBO和自由氧FO结构浓度(Q0+Q1结构)的增加,因此改善了炉渣流动性。
“碱度-镁铝比”联合的炉渣性能调控技术:A.15%≤(Al2O3)≤17%时,二元碱1.25-1.30,镁铝比0.40-0.60。B.17%<(Al2O3)<18%时,二元碱度1.15-1.19,镁铝比0.51-0.61,碱度取下限时镁铝比取大值。C.热制度:物理热≥1500℃,化学热([Si]=0.3-0.45%、[Ti]≤0.085%)。
(3)开发出“碱度和镁铝比”的高铝烧结矿和高铝冶炼渣联调联控智能集成管控系统;基于铁前大数据技术,实现了大型高炉高铝矿低成本冶炼技术的集成化、智能化应用。
①依托高铝烧结、高镁球团、冷压块等工艺技术,开发了“碱度和镁铝比”的高铝烧结矿和高铝冶炼渣联调联控智能集成管控系统,兼顾了高铝烧结质量和高铝炉料冶炼性能的改善。
②开发覆盖料场、烧结、高炉铁前工序全流程的基于铁前大数据的智能配矿管控系统,指导配矿。

图8 基于铁前大数据的智能配矿系统开发
开发机理与数据融合的烧结质量预测模型,烧结质量指标预测命中率均在98%以上。构建铁前工序全链条数据智能追踪匹配体系,支撑产线高炉低成本冶炼技术的集成化、智能化应用。
(4)高炉冶炼操作创新优化技术。开发了适应高铝矿冶炼的高炉“窄平台、大漏斗、适度中心焦”布料模式,以高富氧、高鼓风动能的送风制度,出渣出铁智能集成调控技术及快速休复风技术,实现了大型高炉高铝矿冶炼长周期稳定顺行。
①创新适应高铝矿冶炼需求的布料、送风操作制度。A.精确计算鼓风动能,优化高炉送风制度,吹透中心,提高炉内透气、透液能力。B.建立“窄平台、大漏斗、适度中心焦”的新型布料模式,强力疏导“边沿-中心”两股气流,提高风氧接受能力,提高煤气利用率、降燃耗。
②开发出渣出铁智能集成调控技术。开发新型铁口泥套制作装置,显著提高了铁口泥套制作效率和制作质量,保障了出渣出铁的平稳顺畅;开发新型开口机定位装置,显著提高了铁口深度作业准确度,改善了高铝炉渣冶炼时出渣出铁的均衡平稳性;如图9,开发铁钢界面铁水物流智能调度系统,支撑了高炉出渣出铁信息化标准化操作,改善了高铝渣系炉缸的工作状态。

图9 铁钢界面铁水智能调度系统的可视化面板
③大型高炉高铝渣系下快速休复风技术。为改善大型高炉高铝渣炉况恢复,项目组开发:①高炉休复风首次出铁时间确定技术,保证了炉缸渣铁的及时排放;②高炉长期休复风快速恢复炉况技术,显著改善复风时炉渣流动性,稳定了高炉生产,实现炉况的快速恢复。
3、国内外同类技术比较
表1 国内外同类企业研究对比

2022年至2025年项目成果在邯钢邯宝两座3200m3级大型高炉开展实施应用,突破了大型高炉炉渣Al2O3含量不能长期稳定在16.5%以上的冶炼技术瓶颈,为同级别高炉炉渣铝含量的最高值;在同级别高炉中,邯钢高炉燃耗指标(燃料比495kg/t)业内排名第三。
三、主要创新性成果
1、高铝烧结理论及其冶炼技术
探明了氧化铝含量由2.0%提升至3.0%时高铝烧结矿性能多维度演化规律,揭示了烧结液相生成及其物相演变的高铝铁矿成矿机制,形成了“碱度+镁铝比”联调联控的高铝烧结理论,开发了烧结提铝及增配冶金固废的集成利用技术。
2、高铝炉渣调控机制及其冶炼技术
明晰了氧化铝含量在16%至18%之间炉渣粘度、熔化性温度等性能与炉渣结构之间的定量关系及其影响因素,揭示了基于炉渣聚合度的高铝炉渣性能调控机制,开发了大型高炉冶炼高铝炉渣的集成调控技术。
3、开发出“碱度和镁铝比”的高铝烧结矿和高铝冶炼渣联调联控智能集成管控系统;基于铁前大数据技术,实现了大型高炉高铝矿低成本冶炼技术的集成化、智能化应用。
4、开发了适应高铝矿冶炼的高炉“窄平台、大漏斗、适度中心焦”布料模式以及高富氧、高鼓风动能的送风冶炼制度,研发了出渣出铁智能集成调控技术及快速休复风技术,实现了大型高炉高铝矿冶炼长周期稳定顺行。
四、应用情况与效果
如表2所示,项目实施前2021年铁产量520万吨,铁前配吃经济铁料的占比达27.12%。配吃经济铁料的年度降本创效额按如下公式计算:年降本=∑(经济铁料用量i×经济铁料i的价差)/铁产量。可知,2021年经济铁料替代高价优质铁矿的降本创效为32.97元/吨铁。
2023年至2025年项目成果应用期间,铁前经济铁料配比年均为34.12%,降本创效额较实施前2021年的水平分别提升了8.99元、3.93元和7.80元,综合年度吨铁降本6.91元,近3年累计实现降本增效18460万元,年均降本6153万元。项目显著提升了大型高炉高铝铁矿配比,邯钢高炉渣铝可稳定控制到16.8%±0.2%,对业内3200m3级及以下高炉和铁前工序使用低价高铝铁矿、降低用料成本有很好的示范与推广意义。
表2 邯宝铁前经济铁料配吃情况的年度分析

注:(1)烧结用低价铁矿、冶金固废的价差是相对于项目实施前2021年烧结用主流高品质铁矿的加权价格(巴卡+PB粉+纽曼粉+杨迪粉);(2)低价块的价差是相对于62%品位澳块的价格。
项目成果于2023年3月起在能嘉炼铁2座3200m3高炉及配套2台400m2烧结机进行推广应用。邯钢新区烧结Al2O3含量的平均值由实施前2.2%±0.2%提升至2025年上半年的2.50%±0.05%,期间烧结矿Al2O3含量最高达到2.55%;与此同时,通过增配高铝、高硅及高钛型经济铁料,烧结矿中Al2O3、SiO2以及TiO2的合计含量由实施前约7.83%提升至实施后的8.42%左右。
邯钢新区2座3200m3大型高炉实施了高铝炉渣冶炼(Al2O3含量为16.5%±0.5%),高炉日产提高至9000吨以上(利用系数达到2.81 t/(m3·d)以上),燃料比较实施前降低了20-25 kg/tFe。
2022年起邯宝铁前实施增配低品质铁料的应用攻关:(1)通过增配高铝、高硅及高钛型经济铁料,烧结矿中Al2O3、SiO2及TiO2含量由实施前约7.65%提升至8.25%左右,其中烧结Al2O3含量由2020年的2.2%±0.2%提升至2025年的2.50%±0.1%。(2)邯宝3200m3高炉渣Al2O3含量由实施前2021年的16%±0.5%提高至17%±0.5%水平,高炉在高铝渣系下保持了长期稳定顺行。
项目在邯钢邯宝应用,铁前低质铁料的配比由实施前2021年的32.97%最高提升至2023年的41.96%,2023年至2025年项目应用期间吨铁成本较实施前降低了6.91元,三年累计降本达18460万元。项目成果在能嘉炼铁推广应用,能嘉两座3200m3级大型高炉可长周期稳定冶炼Al2O3含量达16.5%±0.5%的高铝炉渣。
信息来源:河钢集团邯钢公司
[06-25]
[07-03]
[06-20]
[06-19]
[10-29]
[04-13]
[04-09]
[04-07]
[04-07]
[03-31]