一、研究的背景与问题
本项目2022年6月1日开始,随着全球光伏装机量激增(2025年预计超500GW),支架需求同步增长。光伏系统支架材料应具备的关键属性包括强度、韧性和耐腐蚀性。支架所使用的材料必须经久耐用,以达到太阳能电池板约25年的设计寿命。
在中国,约50%的光伏支架结构由热浸镀锌钢制成,约40%由铝制成,少数由不锈钢或玻璃钢制成。不锈钢在光伏安装结构中也发挥着作用,但因为成本较高未被广泛采用。最近,耐候钢已在中国的多个高规格光伏项目中使用,且在其他国家和地区也有很大的发展前景。
除了开发高强度耐候钢之外,中国稀土资源丰富(尤其是镧、铈等低成本稀土),稀土元素具有净化钢液、球化夹杂物(如将长条状MnS转化为球状稀土硫化物)等作用,在耐候钢中加入稀土,其可以促进致密α-FeOOH锈层形成,使稀土耐候钢的耐蚀性达到普通钢的2-8倍,在保证使用寿命的情况下,可以减少其它合金元素添加(如Ni、Cu的贵重金属)。稀土耐候钢凭借其性能、成本和环保优势,成为光伏支架材料的理想选择,其应用背景与光伏产业升级、政策支持、技术创新及资源优势深度契合,未来发展潜力巨大。
目前,在光伏支架发展红利期,应该充分发挥装备优势,及时开发出高强度耐候支架用钢,研究光伏支架用钢耐腐蚀机理,完善光伏支架耐腐蚀性能数据库,得出不同环境下耐蚀性能。填补国内空白,解决行业难题,为稀土行业和绿色行业发展做出贡献。
二、解决问题的思路与技术方案
1、基本内容
热轧高强度耐腐蚀光伏支架用钢的开发与应用研究属于钢铁冶金在光伏建造领域的规范技术应用。主要研究内容包含:
(1)光伏支架用高强度耐候钢成分设计以及抗腐蚀机理研究;
(2)光伏支架用超高强耐候钢成型性和加工工艺研究;
(3)新型稀土光伏支架用耐候钢的成分设计和工艺设计。
研究方案通过与客户交流,充分辨识客户需要,合理设计合金元素,同时兼顾产品强度与耐蚀性,并进行工业化试制,通过盐雾、酸浸等实验,确定产品的耐蚀性能,最后通过光镜、电镜明晰耐腐蚀光伏支架用钢抗腐蚀机理研究。基于研究结果,设计新型稀土光伏支架用耐候钢的成分和工艺。
2、光伏支架用高强度耐候钢成分设计以及抗腐蚀机理研究
构建Q235NHB-Q550NHA全强度级别产品矩阵,耐蚀指数达5.9-6.2,创新“精准成分设计-控轧控冷-连铸保障”一体化工艺,攻克高强度与成型性、焊接性的协同匹配难题,实现超高强耐候钢规模化稳定生产。通过实验室微观检测手段,观察其腐蚀过程,探究了生成腐蚀产物变化规律以及分析抗腐蚀机理。
2.1成分与工艺设计
为满足25年使用年限的要求,结合耐蚀指数≥5.9需求,对Q235NH、Q355NH、Q415NH、Q550NH四个牌号进行成分设计,设置粗轧阶段开轧温度<1100℃,精轧开轧温度970℃,终轧温度确保在Ar3相变温度以上。实际生产性能如下表所示,满足性能需求。
表1 Q235NHB-Q550NHA性能典型值

2.2 耐腐蚀性实验设计及结果
2.2.1 模拟工业大气环境中的腐蚀行为
选取Q550NHA与Q355B进行工业环境加速腐蚀模拟试验。腐蚀试验使用Q-Fog盐雾腐蚀试验箱,腐蚀液选用0.1 mol/L的NaHSO3溶液,按照喷雾(35℃,1h)-干燥(35℃,3h)的循环程序进行连续运行,试验周期为240h(10d)。

图1 Q550NHA循环盐雾腐蚀不同时间的宏观腐蚀形貌

图2 腐蚀10d后2种不同表面锈层的截面形貌
对比腐蚀前后情况,Q355B腐蚀速率为35g/(cm2•d),Q550NHA为18.9g/(cm2•d),相比于Q355B相对腐蚀速率为54%。耐蚀性较好。
2.2.2 周浸实验
执行标准《GB/T 19746-2018》,Q235NHB、Q355NHB、Q415NHB、Q550NHA样品各取5片,试验时间:168h。
表2 周浸实验结果对比

周浸实验结果显示,在国标《GB/T 19746-2018》实验环境下,光伏用耐候钢的相对腐蚀速率在55%以下,耐蚀效果良好。
2.3 耐候钢腐蚀过程机理研究
2.3.1 Q550NHA锈层成分分析
Q550NHA锈层的XRD衍射图谱如图3所示。主要成分包括γ-FeOOH、α-FeOOH和Fe3O4。腐蚀到48 h时,XRD中出现γ-FeOOH和Fe3O4的衍射峰,到96h时出现α-FeOOH的衍射峰。γ-FeOOH衍射峰随着腐蚀的进行逐渐减弱,说明γ-FeOOH积累到一定程度时,有向α-FeOOH转化的趋势。在图3中锈层的截面形貌中发现,内层为层状不致密结构,说明产物为γ-FeOOH。
图3 锈层的腐蚀产物成分随时间的变化
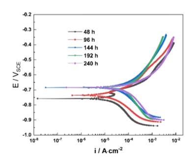
2.3.2 Q550NHA电化学分析
图4为实验后带锈试样的极化曲线,通过Tafel外推法计算得到的腐蚀电位、腐蚀电流如表3所示。
图4 实验不同周期的Q550NHA碳钢试样的腐蚀动电位极化曲线
随着试样腐蚀时间的延长,钢的腐蚀电位逐渐正移,腐蚀电流密度先减小(48h~96h),后增大(96h~144h),随后趋于稳定。随着腐蚀循环次数的增加,Q550NHA试样表面产生大量电化学活性较大的锈层。
表3 带锈试样拟合后的腐蚀电位和腐蚀电流

3、光伏支架用超高强耐候钢加工工艺研究
针对光伏支架立柱、紧固件等不同部件,结合客户现场加工设备能力,为客户量身定制加工工艺参数设计,根据工件尺寸进行建模,仿真冲压过程,采用模拟+试验的方式进行加工工艺参数的分析和改进,有效的节省了试错成本,为客户争取了宝贵的生产时间,大幅规避了边部的开裂风险,解决超高强钢加工易开裂的技术瓶颈。
3.1加工工艺研究
Q550NHA加工流程为纵剪裁切→定宽裁切→冲压,零件形状如图所示。

图5 折弯开裂样品
根据Q550NHA成品零件各部分大概尺寸进行建模,对其冲压过程进行仿真分析,材料参数采用供料卷实际测量数据,扩孔率采用60%,
3.1.1 应变量结果

图6 主应变

图7 次应变
从零件宽度方向的中心做剖面,提取截面上A、B、C、D四个位置内外侧的主次应变值,结果如下,结果显示四个关键位置点外侧中心位置基本接近平面应变,其中C和D处的应变量较A、B处的大,四个点在成形极限图中的位置如下图所示,结果显示,采用目前失效判据的情况下,C、D外侧有严重减薄的风险(全局成形)。

图8 A、B、C、D四个关键位置点在成形极限图中的位置
3.1.2 边部开裂风险评估
边裂风险结果如下:

图9 风险评估图
边裂也仅能评估中性层的开裂风险,结果显示,在理想边缘状态情况下,C、D处的Edge Crack值较高,约为0.065,但也在0.1以下,不存在开裂风险,零件最外侧开裂风险会较中性层略高,但估计安全裕度也会很大。尝试将模具的圆角半径缩小3mm(板料厚度为6mm),结果显示,在理想的边缘状态下C、D处不存在开裂风险。经客户验证后,加工过程无问题。
4、新型稀土光伏支架用耐候钢的成分工艺设计和耐腐蚀性验证
基于前期研究成果,首创稀土协同合金化创新体系,揭示稀土诱导α-FeOOH致密锈层形成机理,通过优化夹杂物形态与合金元素配比,实现耐蚀性(较普通钢提高2-8倍)与稀土资源高效转化的双重突破,构建光伏支架用钢“性能-资源-环保”协同发展新路径。
4.1成分与冶炼工艺设计
运用稀土元素的耐腐蚀性能,进行新型光伏支架用钢的成分设计和工艺设计,稀土耐候生产的主要难点在于冶炼工艺,其影响稀土吸收率和连浇性能。为提高稀土的吸收率,采用定制Ce-Fe合金,Ce含量52%,整体采用真空包装+氩气保护。
图10 Ce-Fe合金包装方式
工艺流程:高炉铁水→铁水预处理→转炉冶炼→LF炉精炼→双流板坯连铸机浇铸→板坯加热→高压水除磷→控轧控冷。
4.2热轧工艺设计
为保证Ti、Mn的强化作用,出炉温度设定1200-1260℃,≤4.0mm产品采用使用卷箱工艺,保证轧制的稳定性。终轧温度采取870-880℃,卷取温度为620-640℃,层冷采用低压超快冷+层流冷却模式,低压超快冷模式总开阀比例33.3%,冷却速度为19℃/s。
图11 CCT曲线
4.3力学性能与冲击韧性。符合国标Q355NHB的力学性能要求,具体数值如表所示。
表4 Q355NHRE力学性能

表5 Q355NHRE冲击韧性

4.4 耐蚀性能
周浸实验结果表明:Q355NHRE耐蚀性在初始阶段略差,后Q355NHRE耐蚀性逐渐高于Q355NH;不同周期下锈层中,Q355NHRE的α/γ-FeOOH比值一直高于Q355NH,说明Q355NHRE锈层更加耐蚀,在腐蚀阶段的后期耐蚀性能提升22%左右。

图12 腐蚀速率和不同周期周浸后锈层
经过144小时后的中性盐雾实验后的结果。Q355NHRE耐蚀性能远超Q355NHB和Q355B。

图13 144小时盐雾试验对比(左:Q355NHRE 中:Q355NHB 右:Q355B)
针对周浸7天、20天周浸后带锈层样品进行电化学实验,如下图所示,电位越大说明氧化膜致密性越好。Q355NHRE同一周期下,电位均高于Q355NH的极化电位。

图14 7天极化曲线(左:Q355NH,右Q355NHRE)

图15 20天极化曲线(左:Q355NH,右Q355NHRE)
周浸7天后容抗弧半径Q355NHRE远大于Q355NH,这说明在添加Ce元素对耐蚀性有一定提高。稀土夹杂物取代了不规则形状的夹杂物,弱化了钢基体与夹杂物微区电位差,且发生电偶腐蚀时可作为阳极优先溶解进一步保护基体,诱导点蚀向均匀腐蚀,阻碍点蚀倾向。

图16 周浸7天后阻抗图谱
相比于普通耐候钢,稀土显著的促进了不稳定的锈蚀相γ-FeOOH 向稳定的产物α-FeOOH的转变,从而加速了钢表面生成致密稳定的耐蚀锈层。大幅降低了腐蚀速率。
5、取得成果
(1)唐钢实现耐候235-550强度级别的耐候钢全牌号生产能力,设计年限25年。
(2)Q235NHB较Q235B吨钢多创效480元,Q355NHB较Q235B吨钢多创效650元,Q415NHB较Q235B吨钢多创效770元,Q550NHB较Q235B吨钢多创效1100元,截止目前累计创效达401.3万元。稀土耐候钢Q355NHRE较350MPa级镀锌或锌铝镁产品多创效450元,累计供货23972吨,直接效益达1056.8万元。共计创效1458.1万元。
三、主要创新性成果
1、全强度级耐候钢成分设计及抗腐蚀机理研究
构建Q235NHB-Q550NHA全强度级别产品矩阵,耐蚀指数达5.9-6.2,创新“精准成分设计-控轧控冷-连铸保障”一体化工艺,攻克高强度与成型性、焊接性的协同匹配难题,实现超高强耐候钢规模化稳定生产。通过实验室微观检测手段,观察其腐蚀过程以及探究了生成腐蚀产物变化规律,从而分析其抗腐蚀机理,为后续更高要求的耐候钢提供理论指导,设计产品满足光伏支架25年设计寿命要求。
2、高强耐候钢成型性及加工工艺设计
针对光伏支架立柱、紧固件等不同部件,结合客户现场加工设备能力,为客户量身定制加工工艺参数设计,根据工件尺寸进行建模,仿真冲压过程,采用模拟+试验的方式进行加工工艺参数的分析和改进,有效的节省了试错成本,为客户争取了宝贵的生产时间,大幅规避了边部的开裂风险,解决超高强钢加工易开裂的技术瓶颈。及时提供指导帮助从而达到客户的期望要求。
3、新型稀土光伏支架用耐候钢的成分设计和工艺设计
首创稀土协同合金化创新体系,揭示稀土诱导α-FeOOH致密锈层形成机理,通过优化夹杂物形态与合金元素配比,实现耐蚀性(较普通钢提高2-8倍)与稀土资源高效转化的双重突破。创新采用Ce-Fe合金真空+氩气保护冶炼工艺,攻克稀土吸收率低的行业痛点,吸收率提升至72%以上,连浇炉数突破18炉,同时弱化钢基体与夹杂物微区电位差,抑制点蚀、诱导均匀腐蚀,推动稀土产业链与钢铁产业深度融合。
四、应用情况与效果
1、Q235NHB与Q355NHB推广应用。该产品用于织金县三塘镇鸡场乡农业光伏电站项目,工程规划总装机容量60MWp,用钢量约1200吨。
加工的成品规格φ60*2.3*Cmm。加工后对焊缝质量进行压扁试验,检测结果无异常。

图17 焊缝质量检测
加工过程中无异常,表面质量良好。

图18 Q235NHB与Q355NHB成品图
加工工艺流程为纵剪裁切(委外)→滚压成型→冲孔。
加工的成品用于光伏支架的檩条,分为两种规格:90*40*9000mm与90*40*7286mm,最终两个规格组装成一根檩条。图纸与成品如下:

图19 Q415NHB图纸

图20 Q415NHB成品图
客户加工完成后对产品厚度进行测量,检测产品厚度范围在1.82-1.85mm之间,满足其1.82最低值要求。
2、Q355NHRE推广应用。该产品应用于准东光伏项目,项目地在古尔班通古特沙漠,共计600MW,地桩与支架均采用Q355NHRE,用钢量2万余吨,是稀土耐候钢首次批量应用在光伏项目上。加工以及使用效果均良好。
加工工序为分条后制成C型钢或者焊管。
C型钢工艺流程为:纵剪裁切→滚压成型→定尺裁切→打孔。

图21 C型钢制作工艺流程
焊管工艺流程为:纵剪裁切→滚压成型→高频焊接→刮疤→水冷→矫直→定尺裁切。成型后对焊缝进行压扁测试,检验焊接性能。

图22 焊管制作工艺及焊缝质量检测

图23 准东光伏项目
3、未来市场应用场景
所开发新型光伏支架用耐候钢耐凭借超长寿命(25年+)、免维护、轻量化、环保低污染和全生命周期经济性等综合优势,已成为光伏支架材料的重要发展方向。随着光伏装机量持续增长和技术进步,预计到 2030 年市场占比将达35%-40%,在特定应用场景 (如沙漠、海上) 甚至可达60%以上。耐候钢光伏支架正迎来 "黄金发展期",将为全球能源转型和 "双碳" 目标实现提供强有力的材料支撑。
信息来源:河钢集团唐山钢铁集团有限责任公司
[06-25]
[07-03]
[06-20]
[06-19]
[10-29]
[05-06]
[05-14]
[05-13]
[05-12]
[05-11]