一、研究的背景与问题
钢铁工业污染物、碳排放高,亟需通过技术创新,系统推进节能减排。河钢集团贯彻河北省钢铁产业结构调整战略部署,于乐亭县工业园区建设了新的大型现代化钢铁生产基地-唐钢新区。其烧结产线于2016年启动建设,1#、2#烧结机2020年正式投产,3#烧结机2024年建成投运。
我国烧结生产虽已取得显著进步,但仍面临四大挑战:
(1)烟气产生量大、污染物浓度高,烟气循环减污机理尚不明晰,循环比例偏低,仅15%-25%。
(2)环冷废气无组织排放严重,余热利用效率仅10%-40%,远低于发达国家60%-90%水平。
(3)烟气CO排放管控日益趋严,前端治理只能降到6000mg/Nm³水平,末端治理面临成本高、催化剂失活周期短等问题。
(4)烧结智能化控制水平低,生产过程稳定性差,效能难以充分释放。
本项目团队基于唐钢烧结平台构建了能质增效耦合烟气治理系统,为减排提效提供解决方案。团队具有多学科背景,曾承担多项国家重点研发项目,技术基础扎实。
二、解决问题的思路与技术方案
1、总体思路
图1 总体思路图
研究高比例烟气循环下的污染物减排与节能降碳机制,深挖环冷余热多梯度循环利用潜力,开发烟气CO催化氧化耦合SCR脱硝技术,构建烧结过程智能控制体系,达到节能减排、提质增效的目的。
2、技术方案
2.1高比例烟气内循环减污增效技术
研究烟气循环条件下的CO、NOX协同减排机理,节能降碳机理等,构建烟气循环优化方案。
(1)烟气循环过程污染减排机理研究
SiO2体系中,温升至600℃时NO转化率仅10%。铁酸钙(CF)存在条件下,NO从300℃开始转化,超过350℃后速率加快,500℃时完全转化。可见,CF对CO还原NO具高催化性。
实验条件:1% CO,400ppm NO,Ar平衡,反应空速95000h−1
图2 CF和SiO2对NO转化率的影响
(2)烟气气氛对CO和NOX减排的影响研究
①浓度对铁酸钙催化CO还原NO的影响
研究CO、NO相互影响机制,由图2可知,增加CO浓度可提高NO转化率和速率。
气氛:NO 400ppm,CO 2000ppm-8000ppm,Ar平衡气,GHSV 95000h-1
图3 CO浓度对NO转化率的影响;内部:CO浓度对NO转化速率的影响
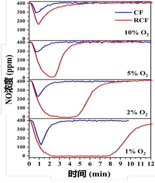
② O2对烟气中CO-NO反应的影响
如图3,含O2反应气进入后,NO浓度先降后升,表明O2对CO-NO反应有毒化作用。在相同氧含量下,RCF对CO-NO反应的催化作用优于CF。
气氛:1%、2%、5%、10% O2,1% CO,400ppm NO,Ar,GHSV 95000h−1
图4 700℃下O2含量对CF和RCF催化CO-NO反应持续性的影响
(3)烟气循环节能降碳机制研究
①烟气循环对固体燃耗的影响
通过模拟和烧结杯实验相验证,循环工艺参数优化后,固体燃耗最高可节省16.6%。
图5 循环工艺节能降碳计算
② 烟气循环烧结降碳机制
图6 烟气循环烧结过程中的CO2排放
固定固体燃耗,循环烟气温度升高,吨矿CO2排放略降。300℃循环烟气温度下,降低固体燃耗,吨矿CO2排放显著降低,见图6。
(4)高比例烟气循环成套化装备
①多级变径烟气分配器结构优化

图7 多级变径结构烟气分配器
据图7、图8模拟结果,改变主管直径可优化流速和压力分布。支管压差与流量平方成正比,变径结构使各支管压差一致,从而改善流量分配。

图8 梯级补氧(上)、分级布风(下)示意图
② 烟气密封罩结构优化
用ICEM CFD软件建立密封罩结构分析模型。较双侧45°、60°进气,双侧30°进气在料面长度、宽度方向的分布更均匀,低速区减小,高速区增大。

(a)双侧30°进气;(b)双侧45°进气;(c)双侧60°进气
图9 双侧不同进气角度结构物理模型
(5)确立烟气循环系统最佳生产方案
唐钢500 m²烧结机配置26个风箱,取头部、尾部风箱风量,与环冷机热风混合后经风机送至烧结料面。低温段取自5#-9#风箱,高温段取自22#-26#风箱,回风位置为5#-22#风箱。循环风量100万m³/h,环冷补风21.5万m3/h,氧含量16.85%,温度>200°C。
图10 唐钢500m²烧结机示意图
(6)实施效果
在确保烧结矿质量前提下,实现35%高比例烟气内循环稳定运行,显著降低了外排烟气量和污染物浓度。
2.2开发了环冷废气零排放多梯度循环提质的余热深度回收技术
(1)环冷风流系统适配性循环蓄热提质模式的构建
① 环冷物理模型与数值模型的建立
对环冷垂直传热过程建立二维非稳态模型。烧结矿堆积床和风箱几何模型见图11,计算区域网格见图12。烧结矿冷却气流动是流体通过固体填充层的流动。烧结矿与冷却介质存在温差,模拟采用多孔介质理论和局部非热平衡模型。

图11 烧结矿堆积床和风箱几何模型 图12 计算区域网格示意图
②中低温段热废气串级循环对废气余热品质的影响

(a)和(c)为串级循环条件下低温2段、3段出口废气温度云图;(b)和(d)为常规冷却模式下低温2段、3段出口废气温度云图
图13 中低温段热废气串级循环对废气余热品质的影响
环冷6段废气用于环冷5段冷却后,5段出口废气温度升高。再循环至4段,进一步升高4段出口温度。废气温度云图(图13)显示,串级利用可有效提高余热品质。
(2)环冷冷却废气多梯度循环提质新工艺
① 环冷机零排放工艺路线
图14 环冷机冷却废气多梯度循环提质新工艺
环冷废气进行了梯级利用,除利用低温区余热,还将280-330℃废气分为三部分:24万Nm³并入锅炉发电;21万Nm³用于烟气循环提氧、提温;4万Nm³用于点火助燃。
② 环冷机零排放风机选型。1#、2#和6#风机为常温型,3#、4#和5#为耐热型。环冷一段、二段冷却风源来自余热锅炉,1#、2#风机仅锅炉故障时启用。6#风机配变频电机,夏季风量为额定30%至50%,冬季关闭。实际运行风机仅3至4台,降低了电耗。
(3)环冷机多环节密封性能设计
① 上、下水密封
上下部用水密封,有隔离装置防物料、灰尘入水槽。水槽板焊后需退火,考虑伸缩量防漏水,连接处焊接防跑风。上下水密封板用8mm耐候板。
② 端部和隔断密封。在受料端、卸矿端设置端部密封,高低温交界处设隔断密封。密封装置上下设可调软连接,侧面加密封防物料进入。
(4)实施效果
环冷废气零排放技术深度回收了中低温余热,吨矿发电提至27.5 kW·h/t的国际领先水平。
2.3构建CO催化氧化耦合脱硫脱硝低能耗烟气治理体系
(1)烧结烟气深度脱硫脱硝节能降碳工艺与装备创新
①节能可变负荷系统低负荷时无需循环风挡,可减轻风机负荷,节省电耗。

图15 节能型可变负荷系统
节能型可变负荷系统在脱硫塔文丘里段设四个旁路管道和自动调节阀。烟气波动或低负荷时,调小旁路风门,减少旁路烟气量,维持文丘里烟气量不变,避免塌床,降低增压风机负荷,节约电耗(图15)。
②双层双流体喷枪减少钙硫比,延长高效反应区,提高脱硫效率。在吸收塔锥形段和直管段首节设置圆周均布的双层双流体喷枪,取代常规回流式喷枪。下层喷枪加湿吸收剂,上层喷枪活化增湿,延长反应区,提高脱硫效率,降低钙硫比。(图16)

图16 吸收塔喷水及物料分布示意
③优化烟气SCR脱硝装置,提高流场均匀性与脱硝效率。基于流场模拟优化,增设直燃炉导流板、下游烟气静态混合器及SCR入口导流板,提升加热效果与流场均匀性,提高脱硝效率。(图17)

图17 脱硝系统优化方案及流场模拟迹线分布示意图
(2)CO催化氧化材料活性优化
①不同活性组分CO催化剂性能研究。图18表明,在0.1% Pt催化剂中,0.1Pt/TiO2-A的T100最低,CO氧化性能最佳。当H2O和SO2共存时,H2O的促进作用强于SO2的抑制作用(图19)。

图18 Pt基催化剂的CO氧化的活性曲线

图19 复杂气氛对0.1Pt/TiO2-A催化剂CO氧化活性的影响
Fe和Mn对Pt-M/Ti-A抗硫性提升最佳(图20)。稳定性测试表明,Pt-Mn/Ti-A抗硫性和稳定性优于未掺杂的Pt/Ti-A,更适于烟气CO催化氧化。(图21)。

图20 非贵金属对Pt/Ti-A催化剂抗硫性的影响

图21 Pt-Mn/Ti-A和Pt/Ti-A催化剂的稳定性评价
②超低Pt负载催化剂性能研究
Pt成本高且稀缺,为降成本促应用,合成超低Pt负载催化剂0.01Pt/Ti-D-N2(图22)。0.01Pt/Ti-D在260℃达最高CO转化效率,较0.01Pt/Ti低90℃(图23)。
图22 0.01Pt/Ti-D和0.01Pt/Ti-D-N2的HRTEM图以及EDS元素映射图

图23 常规催化剂和缺陷催化剂的CO氧化曲线
(3)CO催化氧化耦合SCR脱硝工艺研究
经模拟验证,CO催化氧化为SCR脱硝补热可行。CO催化反应器布置在SCR反应器上游或下游均可满足补热需求。工业应用中,为便于安装和节约成本,可将CO催化剂置于脱硝催化剂备用层。(图24、图25)

图24 CO催化氧化替代高炉煤气为SCR脱硝补热工艺

(a)前和(b)后的入、出口烟温
图25 CO催化反应器置于SCR反应器
(4)实施效果
烧结烟气原始CO浓度达7000-8000mg/Nm³,经催化氧化,CO排放浓度<2000mg/Nm³,脱除效率>80%,氧化放热使SCR脱硝节省高炉煤气19m3/t。
2.4面向绿色低碳的烧结全流程稳态智能控制技术
针对烧结运行失稳和能效偏低,研发了智能稳态架构。通过配料优化和质量预测、烧结终点协调控制、风量合理匹配和平衡,实现了生产系统的协同稳定运行。
|
图26 烧结机稳态控制技术架构图
(1)多模型协同的烧结原料智能优化控制技术
①智能配料模型研究。一次配料建立成本优化模型,考虑成分与库存约束,采用改进遗传算法输出最优方案。二次配料建立质量预测模型,基于混匀料成分与工艺参数,预测烧结矿质量指标,实现动态优化与实时调控。(图27)。
图27 烧结智能配料与成分模型架构图
②混合料智能水分控制。混合料水分影响料层透气性、垂直烧结速度及返矿率。基于神经网络开发水分预测模型,水分稳定率达90.72%,改善了烧结条件。

(2)烧结多维智能感知与稳态调控
①混合料仓料位控制。基于动态物料平衡与生产节奏,研发智能料位控制模型,稳定控制布料厚度与均匀性,并与烧结机、环冷机速度联调。
图30 料仓料位控制模型界面
②富氧点火自控模型。智能混合纯氧与环冷机热风,提升燃烧区氧浓度和助燃风温。应用多神经网络模型预测温度,前馈调节煤气与富氧比,点火温度稳定控制在1125±10℃,降低煤气消耗和CO排放。(图31)。

图31 烧结点火控制模型
③烧结终点控制。为稳定烧结终点,采用纵向预测调控-横向视觉补偿-过程闭环微调的协同控制策略。该策略使终点温度极差降至±40℃,过欠烧率降低2.6%,提升了烧结矿质量稳定性。
图32 烧结终点控制
⑤FeO含量智能实时预测。开发基于机器视觉和CNN的智能系统,通过红外图像分析实时预测FeO含量(命中率>90%),支持烧结过程闭环优化。
图33 红外机尾成像技术架构 |
图34 烧结机尾热成像分析界面 |
(3)烧结主工艺与环保系统风量智能平衡技术
主抽、烟气循环和脱硫脱硝引风机相互影响,易引发抢风失稳和能耗升高。开发了风机群协同控制系统,动态预测风机影响、实时补偿、精准跟踪流量,为维持35%烟气循环率提供了重要支持。
图35 烧结多风机协调联合优化控制
(4)烟气治理智能优化与能效提升技术
研发智能调控体系:通过多级调控返料阀稳定循环流化床床压,采用灰斗自平衡控制防止物料板结;智能温控脱硫塔提升脱硫效率。构建氨水智能投加系统控制NOx波动并抑制氨逃逸;开发直燃炉温控算法实现精准控温,有效利用CO催化余热。

(5)实施效果
表1 实施效果汇总

三、主要创新性成果
1、首创稳质生产下高比例烟气内循环减污增效技术
阐明了循环烟气污染物在烧结料层内的迁移转化净化机理,研发了35%高比例烟气内循环技术,回收显热和化学能,减少外排污染物。
2、开发了环冷废气零排放多梯度循环提质的余热深度回收技术建立环冷机数值模型,揭示气体流动与传热规律,开发了冷却废气多梯度循环提质利用新工艺,吨矿发电量提至27.5 kW·h/t。
3、构建了烟气CO催化氧化耦合脱硫脱硝的低能耗深度治理技术体系
研发了CO催化氧化耦合SCR脱硝技术,降低补热高炉煤气消耗19m³/t。粉尘、SO2、NOx及CO排放浓度远低于排放限值。
4、研发了面向绿色低碳的烧结全流程稳态智能控制技术
通过多模型协同配料平抑配矿波动,通过“纵向预测-横向视觉补偿-闭环微调”稳定烧结过程与终点控制,首创“主抽定基调、压力为约束”风量平衡策略,实现主工艺与环保系统协同运行。
四、应用情况与效果
本研究通过技术创新,在烧结机能质增效与烟气治理领域取得重要突破。35%烟气内循环技术降低了外排烟气量和污染物浓度,环冷废气零排放与余热深度回收技术实现了余热高效利用,CO催化氧化耦合SCR脱硝降低了烟气补热能耗,全流程智能稳态烧结技术实现了高效低碳生产。
通过项目研究及技术措施落实,唐钢新区近三年共创经济效益41762.2万元,新增产值226356.3万元。2027年征收排污税后,每年还可降低CO排污税约3610.2万元。
该技术成果在承钢等烧结项目中得到快速应用推广,推动了烧结低碳绿色转型。(1)在邯钢,烧结烟气循环率稳定在30%以上,固体燃耗降10.8%,产量增6.2%,吨矿CO减排4.4kg。(2)在承钢,烧结烟气循环率≥30%,固体燃耗降幅>10%,产量增幅>6%,CO减排22%,系统同步运行率100%。(3)在唐山瑞丰钢铁,320m²烧结机采用厚料层烧结、烟气循环、环冷机废气零排放和智能控制等技术,固体燃耗降低6.67%,产量提升6.2%,吨烧结矿发电达25.6 kW·h/t,取得良好环境、经济和社会效益。
信息来源:唐钢国际工程技术有限公司
[06-25]
[07-03]
[06-20]
[06-19]
[10-29]
[03-18]
[03-18]
[03-16]
[03-16]
[03-13]